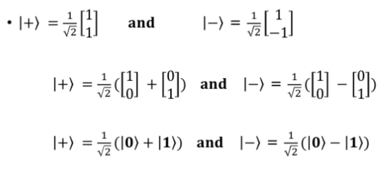
Test for Linearly Independent 21x+21y=0 21x−21y=0 II + I: 2⋅21x=0 ⇒ x = 0 Einsetzten: 21y=0 ⇒ y = 0